| S.No |
Name of the Chemical |
CAS No |
Chemical Structure |
API Name |
| 1 |
6-Chlorouracil (or) 6-Chloropyrimidine-2,4(1H,3H)-dione |
4270-27-3 |
 |
Alogliptin |
| 2 |
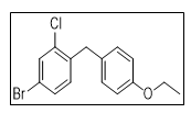
2-Chloropyridin-4-ol |
17368-12-6 |
 |
Altiratinib |
| 3 |
3-Aminobenzonitrile |
2237-30-1 |
 |
Amicarbalide, Tazanolast, Alectinib |
| 4 |
2-Hydroxy-5-Nitro Benzaldehyde (or) 5-Nitrosalicylaldehyde |
97-51-8 |
 |
Asenapine, Vilazodone, Dronedarone, Pacritinib, Telcagepant, Decoquinate, |
| 5 |
4-Methoxy-2-nitrophenol |
1568-70-3 |
 |
Brilaroxazine |
| 6 |
1-(2-Pyrimidyl)piperazine |
20980-22-7 |
 |
Buspirone |
| 7 |
2,4-Dichloro-5-methylpyridine (or) 2,4-Dichloro-5-picoline |
56961-78-5 |
 |
CDMO amd LED Product |
| 8 |
2-Hydroxy-5-nitroacetophenone |
1450-76-6 |
 |
Celiprolol, Decoquinate |
| 9 |
4-Amino-3-nitrophenol |
610-81-1 |
 |
Crenolanib |
| 10 |
2-Bromo-5-hydroxybenzaldehyde |
2973-80-0 |
 |
Crisaborole Pexmetinib (+)-Korupensamine B |
| 11 |
4-Bromo-2-chlorobenzonitrile |
154607-01-9 |
 |
Darolutamide |
| 12 |
4-Hydrazinobenzoic acid |
619-67-0 |
 |
Deferasirox |
| 13 |
Methyl 2-hydroxy-3-nitrobenzoate |
22621-41-6 |
 |
Deucravacitinib |
| 14 |
3-Nitrobenzenesulfonyl chloride |
121-51-7 |
 |
Eperezolid, S-(-)Atenolol,(S)-(-)Nadolol, (S)-(-)-Metoprolol |
| 15 |
5-Amino-1,4-benzodioxane (or) 2,3-Dihydrobenzo[b][1,4]dioxin-5-amine |
16081-45-1 |
 |
Eltoprazine hydrochloride |
| 16 |
4-Amino-2,6-dichloropyrimidine |
10132-07-7 |
 |
Etravirine, Burixafor, Sulfadimethoxine |
| 17 |
1,3-diphenylurea |
102-07-8 |
 |
Fenuron, Propham, |
| 18 |
4-Amino-5-methylpyridin-2(1H)-one |
95306-64-2 |
 |
Finerenone |
| 19 |
3-Methoxy-4-Methylbenzonitrile |
3556-60-3 |
 |
Finerenone |
| 20 |
4-formyl-3-methoxybenzonitrile |
21962-45-8 |
 |
Finerenone |
| 21 |
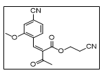
2-Cyanoethyl-3-oxobutanoate |
65193-87-5 |
 |
Finerenone |
| 22 |
2-Chloro-5-methylpyridin-4-amine |
79055-62-2 |
 |
Finerenone, Clazosentan, Avosentan, Imidacloprid |
| 23 |
4-Methylpiperazine-1-carboxylic acid hydrochloride |
58226-19-0 |
 |
Lasmiditan |
| 24 |
5-Bromo-2-chloropyrimidine |
124405-67-0 |
 |
Macitentan and Aprocitentan |
| 25 |
2-Methoxy-4-nitrobenzaldehyde |
136507-15-8 |
 |
Merimepodib |
| 26 |
3-Nitrobenzylamine Hydrochloride |
26177-43-5 |
 |
Merimepodib |
| 27 |
5-Bromopyrimidine-2-carboxylic acid |
37131-87-6 |
 |
Nerigliatin |
| 28 |
2-Chloropyrimidine |
1722-12-9 |
 |
Piribedil |
| 29 |
2,8-Quinolinediol |
15450-76-7 |
 |
Procaterol, Indacaterol, Crenolanib |
| 30 |
2,6-dichloropyridin-4-amine |
2587-02-2 |
 |
Sovleplenib |
| 31 |
6-Amino-1,3-dimethyluracil |
6642-31-5 |
 |
Theophylline, Lomifylline, Etamiphyllin, Thimerosal, Reproterol, Fenethylline |
| 32 |
6-Chloro-3-methyluracil |
4318-56-3 |
 |
Trelagliptin, Alogliptin |
| 33 |
6-Bromo-2-methylquinoline |
877-42-9 |
 |
Tritiated saquinavir |
| 34 |
6-Aminouracil |
873-83-6 |
 |
Vericiguat, Theophylline, Sulfadimethoxine |
| 35 |
Diethyl 3-oxopentanedioate |
105-50-0 |
 |
Zomepirac Ripretinib Deucravacitinib Famitinib |